2021年04月23日 星期五
微积分:瘟疫中诞生的奇迹
□ 沈婧芳 文凤春
图1:“穷竭法”求弓形的面积示意图
图2:求面积示意图
图3:求面积示意图
【图A】
【图B】
【图C】
【图D】
【图E】

    1665年夏天,伦敦暴发了大规模鼠疫,并且迅速蔓延到整个英格兰。在这场鼠疫中,伦敦失去了15%的人口,整个英格兰死亡人数超过10万人。就在英国最黑暗的日子里,有一个年轻人利用这段时间仰望星空、思考宇宙,从宏观到微观,又从微观到宏观,经过认真严谨的推导演绎,终于发明了具有里程碑意义的伟大科学成果——微积分。这个年轻人就是后来被称为科学巨人的艾萨克·牛顿。

    1643年1月4日,牛顿出生在英格兰林肯郡的伍尔索普庄园。18岁那年,他以优异的成绩考入英国剑桥大学三一学院。1665年毕业,并获得大学学士学位。在这一年,牛顿发表了人生第一篇学术论文——《二项式展开定理》。因为这篇论文,牛顿被三一学院研究生院录取。

    在伦敦鼠疫暴发初期,感染后死亡率极高,剑桥大学被迫关闭。牛顿回到老家伍尔索普庄园,直到1667年瘟疫结束才重返校园。牛顿在庄园躲避瘟疫的两年时间里,常常坐在自家的苹果树下沉思遐想。微积分、万有引力定律和光学原理就是他在这一时期的研究成果。这三项中的任何一项,都是人类史无前例的伟大成就。

    牛顿认为变量是连续运动产生的,就像小溪的流水,所以称为“流”。变量的变化率称为“流数”。 他的“流数术”就是求流和求流数的方法,在当今的高等数学中,称为“微分法”和“积分法”。他在研究求流和求流数的过程中,发现这两种运算是互逆的,就像算术中的加法与减法一样。这一美妙发现,使得2000年以前的数学难题变得如此的简单。

    2000年以前,阿基米德创建了“穷竭法”(如图1所示)。通过“穷竭法”可以得到无穷多个小矩形,从而求得弓形的面积。可是对任意一条曲线围成的几何图形,阿基米德用“穷竭法”找不到一个统一的面积计算公式。这个问题困扰了数学界2000多年。牛顿在前辈研究的基础上,建立了“求无穷多个小矩形面积的和”的简单方法,就是现代的定积分。显然,牛顿的研究方法简洁、新颖、巧妙。

    17世纪,法国数学家笛卡尔建立了直角坐标系,有了解析几何。牛顿借助坐标系研究曲线围成图形的面积。他的研究思想用图2和图3加以演示。在图2中,粉红色图形的面积为F(x),它是随x连续变化,称为流。牛顿通过计算得到F(x)的变化率就是曲边f(x),即F(x)的微商等于f(x)。用符号表示为【图B】。在图3中,粉红色图形的面积为【图C】。这个差值就是阿基米德通过“穷竭法”得到的无穷多个小矩形面积的和。

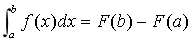
    德国数学家莱布尼茨也得到这个美妙的结论。他把曲线下的面积看成无穷多个小矩形面积之和,用积分符号“【图D】”代表。这个符号是sum的第一个字母“S”的拉长,并用【图E】表示面积。于是有

    【图A】

    这个公式称为牛顿—莱布尼茨公式。

    春去秋来,苹果成熟了。成熟的苹果从树上落下来,牛顿拿着他的“新式武器”——微积分,破解苹果下落的秘密。他证明了任何两个物体之间都存在引力,引力常数G为一个定值,于是提出了万有引力定律。牛顿回到剑桥大学后,将其研究成果进行整理,1687年7月5日出版了科学巨著《自然哲学的数学原理》,微积分贯穿这本书的始终。

    恩格斯说:“微积分是人类精神的最高胜利!”

    有了微积分,人类创造了一项又一项伟大的奇迹。宇宙飞船、人造卫星等航天器可以上天,脱离地心引力而遨游宇宙。300多年来,宇宙太空新增了800多颗人类的作品。这些作品都是微积分的产物!

    瘟疫中诞生的微积分,是几千年来人类智慧的结晶,不仅蕴含着深刻的哲学思想,而且在推动人类社会文明进步等方面发挥了巨大的作用。而在避难中的牛顿,坚持科学研究的崇高品质对后人产生了深远的影响。

    (作者系华中农业大学理学院副教授)

京ICP备06005116